Jump to content

Расстояние между точками на поверхности.


Recommended Posts

one man

На поверхности две точки: зелёная (-0.3535533906, 0.3535533906, 0.1702275155) и красная (0.3535533906, -0.3535533906, 0.3452409744).
На рисунке это выглядит примерно так:  1  и  2.  Какой путь между точками по поверхности будет короче: по часовой стрелке или против? 

Link to post
Share on other sites


UnPinned posts
Ветерок
55 минут назад, one man сказал:

Какой путь между точками по поверхности будет короче

по геодезической линии

Link to post
Share on other sites
one man
1 час назад, Ветерок сказал:

по геодезической линии

Ага, точно, только по какой именно? :biggrin:

Link to post
Share on other sites
Ветерок
3 часа назад, one man сказал:

Ага, точно, только по какой именно? :biggrin:

Между двумя точками на поверхности можно построить единственную геодезическую линию. На то она и геодезическая.

Link to post
Share on other sites
maxx2000
5 часов назад, one man сказал:

Ага, точно, только по какой именно?

как и положено по прямой или по самой короткой :smile:

 

"Этих команд я не знаю и никогда не юзал."@Dimetil Gidrozin (С)

"Солид это не геометрия и не тригонометрия и не алгебра это программа объёмного моделирования. возьми свою геометрию и дай мне 3-D модель развертки для станка.@Dimetil Gidrozin(С)

"Я децилион лет работаю в солиде но ни разу не читал стандартной чуши про настройки)) вообще не шарю в настройках)) короче это бред))" @Dimetil Gidrozin Dnepr (С)

"Много волшебных крутилок-перделок как в Power mill. Именно в этом и заключается комфорт работы и предупреждение ошибок в УП." @vik300001 (C)

"В случае одной координаты достаточно одного пальца - среднего@Ветерок (С)

"Пробовал померить силу показывает какие-то ньютоны." @Engineering(С)

"Это только в интернетах некоторые персонажи все умеют и знают, а на деле у них тупняк и нытье начинается." @lem_on(С)

Link to post
Share on other sites
16 часов назад, Ветерок сказал:

Между двумя точками на поверхности можно построить единственную геодезическую линию. На то она и геодезическая.

Это уже тянет на откровение. :smile: Нет, неправильно, например, через две точки может проходить бесконечно много геодезических, а определение её как самого короткого пути даётся только в достаточно малой окрестности. Между данными точками можно провести (построить) две короткие геодезические, осталось выбрать одну из них. 

 

15 часов назад, maxx2000 сказал:

как и положено по прямой или по самой короткой

Так где же проходит эта самая короткая? Подсказка была в первом сообщении: только не через вершину. 

Link to post
Share on other sites
maxx2000
1 час назад, one man сказал:

Между данными точками можно провести (построить) две короткие геодезические

это как крокодил, Он более длинный чем зелёный.

Цитата

Tеорема: Крокодил более длинный, чем широкий.

Для доказательства докажем 2 леммы.
1. Крокодил более длинный, чем зеленый.
Крокодил длинный и снизу, и сверху, а зеленый только сверху.
2. Крокодил более зеленый, чем широкий.
Крокодил сверху и зеленый, и широкий, а сбоку только зеленый, что
доказывает лемму.
По закону транзитивности широкий<зеленый<длинный.

Обратная теорема: Крокодил более широкий, чем длинный.
1. Крокодил более широкий чем зеленый.
Крокодил широкий и снизу и сверху, а зеленый только сверху.
2. Крокодил более зеленый чем длинный.
Крокодил зеленый и сверху, и сзади, но длинный только сверху.
По закону транзитивности: длинный<зеленый<широкий

Из всего этого следовало бы, что крокодил квадратный, но поскольку
неравенества строгие, КРОКОДИЛОВ НЕ СУЩЕСТВУЕТ.

А вообще интересно увидеть две геодезических (априори самых коротких) линии ограниченных одной парой точек

Edited by maxx2000

"Этих команд я не знаю и никогда не юзал."@Dimetil Gidrozin (С)

"Солид это не геометрия и не тригонометрия и не алгебра это программа объёмного моделирования. возьми свою геометрию и дай мне 3-D модель развертки для станка.@Dimetil Gidrozin(С)

"Я децилион лет работаю в солиде но ни разу не читал стандартной чуши про настройки)) вообще не шарю в настройках)) короче это бред))" @Dimetil Gidrozin Dnepr (С)

"Много волшебных крутилок-перделок как в Power mill. Именно в этом и заключается комфорт работы и предупреждение ошибок в УП." @vik300001 (C)

"В случае одной координаты достаточно одного пальца - среднего@Ветерок (С)

"Пробовал померить силу показывает какие-то ньютоны." @Engineering(С)

"Это только в интернетах некоторые персонажи все умеют и знают, а на деле у них тупняк и нытье начинается." @lem_on(С)

Link to post
Share on other sites

Пример с двумя геодезическими. 
Исходная поверхность и две точки.
Одна геодезическая.

Вторая геодезическая.
Плохо, что пакеты не прокладывают геодезические. Но, похоже, дело таки не в пакетах.:smile:
Кстати, а какая в этом случае короче? 

И дабы избежать очевидных придирок, здесь показано, что первая не плоская

Edited by one man
Link to post
Share on other sites

 

4 минуты назад, one man сказал:

Одна геодезическая.

это не геодезическая кривая

"Этих команд я не знаю и никогда не юзал."@Dimetil Gidrozin (С)

"Солид это не геометрия и не тригонометрия и не алгебра это программа объёмного моделирования. возьми свою геометрию и дай мне 3-D модель развертки для станка.@Dimetil Gidrozin(С)

"Я децилион лет работаю в солиде но ни разу не читал стандартной чуши про настройки)) вообще не шарю в настройках)) короче это бред))" @Dimetil Gidrozin Dnepr (С)

"Много волшебных крутилок-перделок как в Power mill. Именно в этом и заключается комфорт работы и предупреждение ошибок в УП." @vik300001 (C)

"В случае одной координаты достаточно одного пальца - среднего@Ветерок (С)

"Пробовал померить силу показывает какие-то ньютоны." @Engineering(С)

"Это только в интернетах некоторые персонажи все умеют и знают, а на деле у них тупняк и нытье начинается." @lem_on(С)

Link to post
Share on other sites

нет

И вторая не геодезическая кривая, вот твоя геодезическая кривая и проходит она ну никак не по диагонали/ Хотя ты можешь отправить свои претензии корпраци PTCСкриншот 07-02-2026 100209.jpg

 

Edited by maxx2000

"Этих команд я не знаю и никогда не юзал."@Dimetil Gidrozin (С)

"Солид это не геометрия и не тригонометрия и не алгебра это программа объёмного моделирования. возьми свою геометрию и дай мне 3-D модель развертки для станка.@Dimetil Gidrozin(С)

"Я децилион лет работаю в солиде но ни разу не читал стандартной чуши про настройки)) вообще не шарю в настройках)) короче это бред))" @Dimetil Gidrozin Dnepr (С)

"Много волшебных крутилок-перделок как в Power mill. Именно в этом и заключается комфорт работы и предупреждение ошибок в УП." @vik300001 (C)

"В случае одной координаты достаточно одного пальца - среднего@Ветерок (С)

"Пробовал померить силу показывает какие-то ньютоны." @Engineering(С)

"Это только в интернетах некоторые персонажи все умеют и знают, а на деле у них тупняк и нытье начинается." @lem_on(С)

Link to post
Share on other sites

Геодезическая кривая это априори самая короткая кривая соединяющая 2 точки поверхности. Куб 100х100 радиус скругления 20мм

Скриншот 07-02-2026 101443.jpg

Edited by maxx2000

"Этих команд я не знаю и никогда не юзал."@Dimetil Gidrozin (С)

"Солид это не геометрия и не тригонометрия и не алгебра это программа объёмного моделирования. возьми свою геометрию и дай мне 3-D модель развертки для станка.@Dimetil Gidrozin(С)

"Я децилион лет работаю в солиде но ни разу не читал стандартной чуши про настройки)) вообще не шарю в настройках)) короче это бред))" @Dimetil Gidrozin Dnepr (С)

"Много волшебных крутилок-перделок как в Power mill. Именно в этом и заключается комфорт работы и предупреждение ошибок в УП." @vik300001 (C)

"В случае одной координаты достаточно одного пальца - среднего@Ветерок (С)

"Пробовал померить силу показывает какие-то ньютоны." @Engineering(С)

"Это только в интернетах некоторые персонажи все умеют и знают, а на деле у них тупняк и нытье начинается." @lem_on(С)

Link to post
Share on other sites
1 минуту назад, maxx2000 сказал:

Геодезическая кривая это априори самая короткая кривая соединяющая 2 точки

Мы слышим звон, а учебники нам только мешают. :biggrin: 
Посмотри хотя бы на реакцию образованной публики.

Link to post
Share on other sites

Т.е. ты предлагаешь мне не верить своим глазам, т.е факту, а другому якобы

уважаемому сообществу. Поразительно, замечательно, полный восторг.

 

46 минут назад, one man сказал:

Ответ на глупость.

в любом уважаемом сообществе принято отвечать за свои слова, а не раскидываться ими.

Я тебе сразу сказал, что твоя задача это задача про крокодила, который более длинный и широкий чем зелёный. 

А чтобы у твоих картинок не было разночтения, старайся размещать их в пространстве так, чтобы у них не было разночтения, потому что на твоих картинках не геодезические кривые, а просто линии соединяющие 2 точки. Здесь телепатов нет и разгадывать твои шарады никто не собирается.

Edited by maxx2000

"Этих команд я не знаю и никогда не юзал."@Dimetil Gidrozin (С)

"Солид это не геометрия и не тригонометрия и не алгебра это программа объёмного моделирования. возьми свою геометрию и дай мне 3-D модель развертки для станка.@Dimetil Gidrozin(С)

"Я децилион лет работаю в солиде но ни разу не читал стандартной чуши про настройки)) вообще не шарю в настройках)) короче это бред))" @Dimetil Gidrozin Dnepr (С)

"Много волшебных крутилок-перделок как в Power mill. Именно в этом и заключается комфорт работы и предупреждение ошибок в УП." @vik300001 (C)

"В случае одной координаты достаточно одного пальца - среднего@Ветерок (С)

"Пробовал померить силу показывает какие-то ньютоны." @Engineering(С)

"Это только в интернетах некоторые персонажи все умеют и знают, а на деле у них тупняк и нытье начинается." @lem_on(С)

Link to post
Share on other sites
54 минуты назад, maxx2000 сказал:

потому что на твоих картинках не геодезические кривые, а просто линии соединяющие 2 точки.

И это не глупость?  Тогда остаётся  дремучая необразованность.  Но одно другому не мешает.

 

56 минут назад, maxx2000 сказал:

Здесь телепатов нет и разгадывать твои шарады никто не собирается.

Не стоит, наверное, лезть в тему, в которой компетентности  0, мягко говоря. 

Пожалуйста,  больше не засоряй тему своими геометрическими откровениями, тем более учитывая стартовое сообщение. И сил давать подсказки по ликбезу у меня нет. 

Link to post
Share on other sites

@one man жену поучи щи варить. Ликбез он проводить не хочет. Научись хотя бы свои мысли формулировать.

 

2 минуты назад, one man сказал:

И это не глупость? 

твои картинки из первого сообщения не открываются. Последующие, де факто там просто линии на картинках, а то что они геодезические знаешь только ты.  По сабжу тебе ответили что самая короткая это геодезическая. Это не так? Когда ты сказал что их больше чем одна через две точки, я тебе сказал что это как крокодил длинный и сверху и снизу, а зелёный только сверху, т.е  на кубике их и вправду может быть две.  В отличи от твоих картинок на моих хоть понятно что кривые лежат на поверхности, а на твоих нет. Вот когда ты показал немного смещённый ракурс стала немного понятна каша в твоей голове.

  • Нравится 1

"Этих команд я не знаю и никогда не юзал."@Dimetil Gidrozin (С)

"Солид это не геометрия и не тригонометрия и не алгебра это программа объёмного моделирования. возьми свою геометрию и дай мне 3-D модель развертки для станка.@Dimetil Gidrozin(С)

"Я децилион лет работаю в солиде но ни разу не читал стандартной чуши про настройки)) вообще не шарю в настройках)) короче это бред))" @Dimetil Gidrozin Dnepr (С)

"Много волшебных крутилок-перделок как в Power mill. Именно в этом и заключается комфорт работы и предупреждение ошибок в УП." @vik300001 (C)

"В случае одной координаты достаточно одного пальца - среднего@Ветерок (С)

"Пробовал померить силу показывает какие-то ньютоны." @Engineering(С)

"Это только в интернетах некоторые персонажи все умеют и знают, а на деле у них тупняк и нытье начинается." @lem_on(С)

Link to post
Share on other sites

Сервис картинок сбоит, поэтому можно вернуться к началу темы с помощью местных сил. 

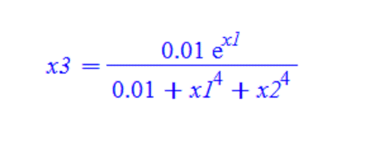
Точки: зелёная (-0.3535533906, 0.3535533906, 0.1702275155),
красная (0.3535533906, -0.3535533906, 0.3452409744)

Какое расстояние между точками  по поверхности будет самым коротким: по часовой стрелке или против?

Вариант через вершину воспринял как шутку, потому что такой степени необразованности даже не мог представить. Был не по годам наивен.:biggrin:  
 

УРАВНЕНИЕ.gif

EXP 12.gif

EXP 21.gif

Edited by one man
Link to post
Share on other sites
5 часов назад, one man сказал:

Вариант через вершину воспринял как шутку

никто и не говорил что через вершину это самый короткий путь. Если внимательно посмотреть визуальный ряд картинок, то там видно где какая кривая, т.е. она просто на поверхности или геодезическая.

Прикрепи модельку поверхности в STEP и сообщи координаты точек в плане ХУ. Если же решение должно быть найдено чисто математически то ты явно ошибся форумом.

Edited by maxx2000

"Этих команд я не знаю и никогда не юзал."@Dimetil Gidrozin (С)

"Солид это не геометрия и не тригонометрия и не алгебра это программа объёмного моделирования. возьми свою геометрию и дай мне 3-D модель развертки для станка.@Dimetil Gidrozin(С)

"Я децилион лет работаю в солиде но ни разу не читал стандартной чуши про настройки)) вообще не шарю в настройках)) короче это бред))" @Dimetil Gidrozin Dnepr (С)

"Много волшебных крутилок-перделок как в Power mill. Именно в этом и заключается комфорт работы и предупреждение ошибок в УП." @vik300001 (C)

"В случае одной координаты достаточно одного пальца - среднего@Ветерок (С)

"Пробовал померить силу показывает какие-то ньютоны." @Engineering(С)

"Это только в интернетах некоторые персонажи все умеют и знают, а на деле у них тупняк и нытье начинается." @lem_on(С)

Link to post
Share on other sites
18 минут назад, maxx2000 сказал:

Если же решение должно быть найдено чисто математически то ты явно ошибся форумом.

Скорее, это ты ошибся темой, причём сильно. Даже численное решение тебе не по зубам, - а другого здесь нет.  Кроме этого ты не понимаешь, о чём идёт речь, но  продолжаешь лезть в бутылку,  попутно делясь познаниями в геометрии,  
Инженерные коммуникации, транспортные маршруты...  всё связано c геодезическими. Например, самолёты из Европы летят на Кубу через Гренландию, а прокладывание коммуникаций вдоль фюзеляжей и корпусов по минимальным расстояниям экономят как сырьё, так и уменьшают массу самолётов и судов... Вот такая здесь математика и такой весьма активный ты, только активность, как у местных на районе при виде чужаков. 

Link to post
Share on other sites

Create an account or sign in to comment

You need to be a member in order to leave a comment

Create an account

Sign up for a new account in our community. It's easy!

Register a new account

Sign in

Already have an account? Sign in here.

Sign In Now
  • Recently Browsing   0 members

    No registered users viewing this page.

  • Сообщения

    • andryushik280188
      Спасибо, сделал карту под себя.
    • Fedor
      Экспорт мухоморов из России активно растет, так как на Западе и в Азии этот гриб стал популярным сырьем для альтернативной медицины и биодобавок.  Основные причины и цели экспорта: Фармакология и косметология: За рубежом компоненты мухомора (после специальной обработки) используют для создания мазей от ревматизма, артрита и кожных заболеваний. Тренд на микродозинг: В ряде стран (например, в США) существует высокий спрос на сушеные шляпки для употребления в сверхмалых дозах. Сторонники метода утверждают, что это помогает бороться с бессонницей, тревожностью и депрессией. Альтернативная медицина: Интерес к грибам резко подскочил в период пандемии, когда люди начали искать нетрадиционные способы укрепления иммунитета. Доступность сырья: В России мухомор распространен повсеместно, а его сбор и экспорт в сушеном виде юридически не запрещены (если вид не занесен в Красную книгу).  Основные покупатели российских мухоморов — США, Филиппины, Германия, Италия и Киргизия. Только из Пермского края в 2023 году вывезли более полутонны сушеных грибов.    Во тема для бизнеса .  Летом и осенью их как грязи в лесу :)  На внутреннем рынке цены на красный мухомор (Amanita muscaria) в среднем составляют: Опт (заготовители): от 10 000 до 15 000 рублей за килограмм. Розница (маркетплейсы и спецмагазины): от 18 000 до 35 000 рублей за килограмм (в пересчете из мелкой фасовки по 50–100 г). Пантерный мухомор (Amanita pantherina) стоит значительно дороже — от 50 000 до 80 000 рублей за кг, так как он более редкий и содержит более высокую концентрацию действующих веществ.    В Германии В Европе мухоморы позиционируются как экзотическое сырье для коллекционирования или косметологии, что диктует более высокую стоимость: Средняя цена: от 400 до 600 евро за килограмм (около 40 000 – 60 000 рублей). Мелкая розница: на европейских сайтах и в специализированных «этноботанических» магазинах цена может достигать 1–1,5 евро за грамм (до 1000–1500 евро за кг), если товар позиционируется как продукт высшего качества (Grade A).  Почему такая разница? Основная наценка в Германии связана с логистикой, необходимостью прохождения таможенного контроля (который становится всё строже) и рисками, связанными с правовым статусом продукта в разных странах ЕС.  Важно: Помните, что мухомор является ядовитым грибом. В России его продажа в качестве пищевого продукта запрещена, а употребление может привести к тяжелому отравлению.     Для мухоморов и большинства трубчатых грибов действуют следующие пропорции: Коэффициент усушки: в среднем 10:1. Вес: из 10 кг свежих грибов получается примерно 1 кг сушеных. Если говорить конкретно о мухоморах, то их шляпки теряют в весе чуть меньше, чем ножки, но общее правило сохраняется. Чтобы получить 1 кг сушеного продукта, который в Германии стоит 400–600 евро, заготовителю нужно собрать и переработать не менее 10–12 кг свежего сырья. Ай да ИИ  всему научит :)  5 кГ собрать в сезон в день вообще не проблема, а легкая прогулка. А это 250 евриков в день. За 20 дней 5000 евриков. А если организовать бабушек в деревне на сбор и платить по штуке евриков примерно в месяц, то за сезон можно лимон евриков заработать :) 
    • maxx2000
      жутко интересно, но ни хрена непонятно. какая ему в жопу разница старая там сборка или новая. он должен проецировать что угодно и куда угодно если он может это проецировать
    • tiomat
      Экспериментировал с деталью (алюминиевая оребренная труба длиной 2 метра) по умолчанию система подхватывает либо точки по углам плоскостей (если они активны), либо неопределенные точки на поверхности детали и когда начинаешь вращать сцену труба вращается, скажем так, по не очень предсказуемой, далеко не предсказуемой траектории. Следуя логике системы, чтобы комфорта крутить модель надо вначале курсором поймать ее центр, ну и далее вертеть. Я моделирую уже более 20 лет, вначале немного был Компас, ну а потом Солид, ну почему в этих, как я понял, менее профессиональных программах это решение реализовано гораздо комфортней и понятней. Я еще не встречался с ситуацией, когда деталь надо вертеть вокруг какой-то неопределенной точки с непредсказуемым результатом, если есть такие, отзовитесь. Один из тех случаев, где чрезмерная "гибкость" выходит боком. Хороший функционал -"вам как вертеть-через ...опу или нормально", если нормально, то выберите в настройках "не вертеть через ...опу". Не судите строго, понятное дело, что еще не привык, но в данном случае дело не в привыкании.
    • Fedor
      Это для нестационарных задач, а что можно сказать об устойчивости  нелинейных задач ?  
    • SergAG
      Просто чтобы не осталось в ветке нерешенных вопросов. В общем, солид не дает создавать на детали зависимостей в новой сборке, если присутствуют таковые в старой. Просто редактировать можно. Но преобразование объекта такие зависимости создает, и чтобы они не конфликтовали со старой сборкой, эти связи можно только разорвать. При этом не важно, относятся ли связи к тем же или другим элементам эскиза - вот что для меня было неожиданно. Отверстия, которые я хотел создать в новой сборке, отсутствовали в старой. И тем не менее... Геометрия детали при разрыве не меняется, но, потеряв связи, эскиз детали становится не полностью определенным. Это я проверил на простых примерах сборок.
    • Foksmen
      Как правило, если используется МКЭ, то для дискретизации используются неявные методы. В таком случае с устойчивостью проблем быть не должно.
    • maxx2000
    • maxx2000
      @Fedorly насколько я помню, Компас вообще не сертифицирован для DXF. Есть только поддержка. Начиная с  DXF 13 версии появилась возможность выбирать как экспортировать сплайны(сплайнами или полилинией). Компас 23 при экспорте в DXF 2018 сохраняет сплайн как сплайн. CREO этот DXF импортирует как сплайн. Ищи проблему в своей программе куда ты импортируешь, она преобразует сплайн в поллинию или удаляет.
    • Fedorly
      Проблема со сплайнами в DXF из КОМПАС-3D 24 Несколько раз обращались с жалобой - при экспорте в DXF через DXF-Auto часть объектов просто пропадает. На первый взгляд кажется, что проблема в DXF-Auto, но все оказалось интереснее. В новом видео подробно показана, где на самом деле возникает ошибка.  Спойлер: причина не в DXF-Auto, а в некорректной работе стандартного модуля экспорта DXF в КОМПАС-3D 24, из-за которого не выводятся сплайны. Будет полезно пользователям DXF-Auto КОМПАС-3D 24 YouTube RuTube 
×
×
  • Create New...