Jump to content

Подскажите подходящий софт для анализа профиля крыла.


Recommended Posts

zerganalizer

Привет всем, кто меня ещё не знает. У меня повторно пробудился интерес к аэродинамическим профилям. Я ещё лет 10 назад создал генераторы профилей NACA 4 и 5 digit и собирался делать 6-е поколение (нашёл материалы официальные по алгоритму построения), когда сменил сферу деятельности. Примеры работы и обсуждение были тут.

 

Были найдены расхождения с забугорными программами.

 

Но несколько лет назад снова вёл изыскания на предмет создания универсального конфигуратора профиля, которым можно симулировать (аппроксимировать, имитировать) любой гладкий профиль и получить возможность поиска идеального профиля под конкретные задачи. Результаты были интересные, проектов 5 и более, в итоге получилось хорошее решение, но очень трудно управляемое.

 

В данный момент мне снова стало интересно, и я создал прототип со всего 3-мя параметрами, позволяющий генерировать аналоги всех NACA-подобных профилей в виде бесконечно гладких кривых (G3/4/5/бесконечность). Но чтобы оценить качество - нужна простая программа анализа, которая может по кривой (не по точкам!) провести анализ аэродинамики и качества сгенерированного профиля.

 

Желательно, чтобы программа была точная и бесплатная.

 

Кто что может посоветовать? Я пробовал FlowEFD, но не понял, как в ней анализировать чисто профиль, а не всё крыло. И как интерпретировать результаты анализа? Интересуют численные результаты аэродинамического качества, какие выдаёт общеизвестная программа AirFoil, но она не ест кривые, только точки.

 

Ваши варианты?

Edited by zerganalizer
  • Чемпион 1
  • Хаха 1

Автоматизирую все, что логично.

Link to post
Share on other sites
  • 3 years later...


UnPinned posts
zerganalizer

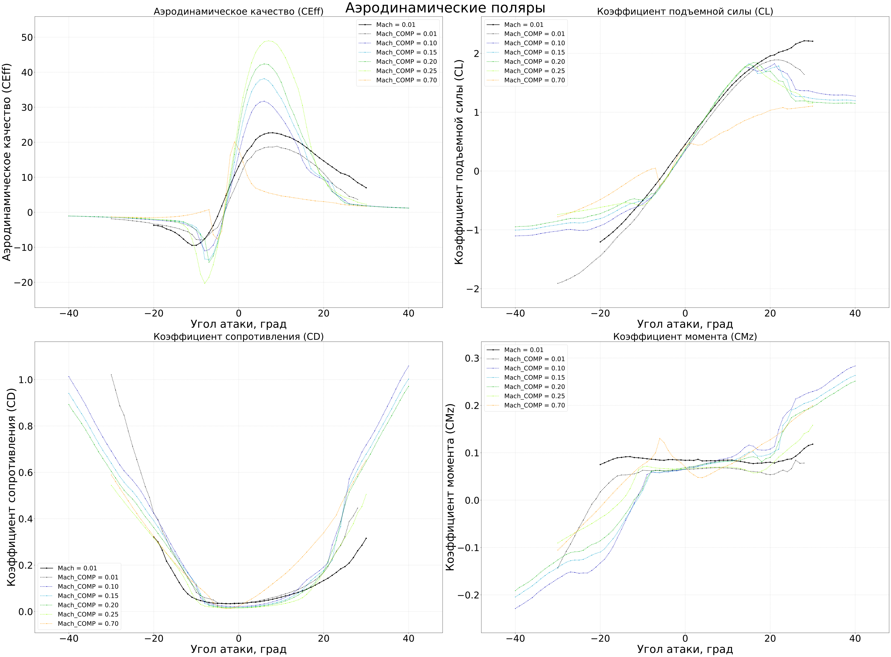
Решил погонять разные готовые настройки на профиле по формулам Бартини - коэффициенты какие мне приглянулись визуально. Половина конфигов настроек, работавших на остальных профилях, тут загнулись, стабильно заработала та, у которой разгон сбалансирован. МА 0.7 - самая сложная скорость для просчёта, как оказалось.

 

изображение.png

 

Очень гадкий профиль для таких скоростей, у него в минусах минусовое качество больше плюсового в пике. На МАХе 0.01 он гораздо интереснее.

 

изображение.png

 

Тут расчёт попёр от -12 градусов с RMS_DENSITY 7+. Клювик был неплох на этой скорости, но Bartini весьма его превзошёл. Тут коллекция старых расчётов клювика, в которой я замещаю поляры на разных скоростях: 0.01 и 0.7 МАХов уже просчитаны с критерием 4-5 новыми конфигами, и на его фоне Bartini очень хорошо смотрится!

 

изображение.png

 

Поражает почти горизонтальная поляра CMx в столь широком диапазоне и очень высокая подъёмная сила и качество для 0.01 МАХа! У Мегатопа тоже толстое сечение и высокая подъёмная сила, но нет провала в минус на отрицательных углах атаки, однако пока я не считал его именно на этой скорости - будет баттл!

Edited by zerganalizer

Автоматизирую все, что логично.

Link to post
Share on other sites
zerganalizer

Как показала практика - оригинальная треугольная сетка без преобразования в квады при бОльшем размере сходится стабильнее и быстрее:

 

изображение.png

Был настроен алгоритм загущения конца профиля экспотенциально и носика сообразно его кривизне и плотности узлов пограничного слоя. Собственно, расчёт спотыкался на определённых углах атаки из-за неоднородностей распределения квадратных ячеек вместо однородных изначально треугольных. Профиль Bartini с его траблами продувки сподвиг меня снова попробовать продуть оригинальную треугольную сетку - результат превзошёл все ожидания. Бредни ИИ о преимуществах квадов сбили меня с правильного пути.

 

Это прорыв в скорости и стабильности расчёта. Ура, товарищи! Лог расчёта в-среднем такой:


 

Запуск расчета: Mach=0.7, AOA=-19.0
CEff = -1.367969482, Итераций: 157, RMS_DENSITY = -4.20524035, время расчета: 41.2 сек
Режим RANS (Mach = 0.70)

Запуск расчета: Mach=0.7, AOA=-18.0
CEff = -1.31059408, Итераций: 173, RMS_DENSITY = -4.157690357, время расчета: 39.7 сек
Режим RANS (Mach = 0.70)

Запуск расчета: Mach=0.7, AOA=-17.0
CEff = -1.254219992, Итераций: 189, RMS_DENSITY = -4.186477192, время расчета: 43.3 сек
Режим RANS (Mach = 0.70)

 

изображение.png

изображение.png

Edited by zerganalizer

Автоматизирую все, что логично.

Link to post
Share on other sites
zerganalizer

Расчётный софт был доработан - появились фоновые консольные окна с логом процесса в реальном времени и прорисовка автоматом поляры в процессе расчёта: в-одиночку или на фоне поляр по ранее просчитанным профилям.

 

изображение.png

Edited by zerganalizer

Автоматизирую все, что логично.

Link to post
Share on other sites
a_schelyaev

Жениться тебе нужно, барин!

  • Хаха 1

С уважением

Link to post
Share on other sites
zerganalizer
22.10.2025 в 10:03, a_schelyaev сказал:

Жениться тебе нужно, барин!

На новой работе если квартиру подарят - прям сразу!)))

 

Новая сетка стала откровением ещё и в другой области - стала выдавать куда больше попугаев в CL/CD, когда я ее упростил до похожих на реалии цифр - она стала весить не 1.1Мб, а 570 Кб. И второе откровение - сходимость возросла настолько, что пришлось переделать настройку CFD. Теперь вот тестирую +/-90 градусов решение для диапазона 0.01...3 МАХа. Для пока самого тяжкого профиля в расчётах.

 

У GMSH есть ряд настроек "полигонизации", я давно затестил - какие сколько попугаев дают и как сетка выглядит, но этот, на котором я сейчас, в квады не на всех настройках мешинга превращались, и считаться отказывалась как "дивергент", потому пока на квадах был - ИМХО - самый перспективный и качественный алгоритм оставался за бортом. На показанную выше сетку расчёт стал выдавать почти столько же попугаев, как на родной трансфинитной от SU2_EDU. А мой расчёт трансфинитной и расчёт на исходном SU2_EDU 2015-го года цифрами CL/CD отличаются вдвое.

 

изображение.png

 

А вот текущая упрощённая сетка:

 

изображение.png

 

Я немного потестил конфиг на 3-х МАХах +/-90 градусов. Видимо скоро настройки утрясутся на весь диапазон - 0.001 (пробовал, туго, но сходится)...25 МАХов, больше 5 МАХов пока не пробовал, около него диапазон за пределами +/-20 градусов выкидывает в дивергент.

 

Собственно - законченная версия будет готова считать полный диапазон на профиль за день на простом буке с 12-ю потоками. Это нужно для оценки профилей - моих и существующих. Я планирую создать ветку "BattleFIELD of foils" для выкладывания всяческих сравнений. Всё-равно на работе 80% делать нечего, и даже когда есть работа - расчёт легко идёт фоном, не мешая работать.)))

 

Кстати - коль дедушка бородой тут потряс - где надыбать правильные результаты натурных испытаний профилей, уже содержащих подобную таблицу параметров?

 

Mach    AOA            CL                    CD                   CEff                  CMz   
0.01    -30.0    -1.909819888    1.020595403    -1.87128012    -0.1432591126    

 

PS: дети выросли, так что занимаюсь наукой, графики строю в качестве развлечения. Ну как там у Алисы из будущего)))

 

 

Edited by zerganalizer

Автоматизирую все, что логично.

Link to post
Share on other sites
  • 3 weeks later...
zerganalizer

В-общем, я перешёл от бесполезных баттлов к уточнению параметров моего ИИ-CFD (мешер+расчёт) в самом интересном диапазоне Re для моих потенциальных клиентов - менее 0.1 МАХа. Сейчас тестирую прогон пока самого проблемного профиля в этом диапазоне (сейчас идёт расчёт 0.005 МАХа и далее с шагом 0.01), но это уже с целью изучения феномена туннельных профилей.

 

22.10.2025 в 10:03, a_schelyaev сказал:

Жениться тебе нужно, барин!

Ты как-то спрашивал, дедушка, за счёт чего туннельный эффект повышает качество профиля? Я увидел это вживую, даже спросил ИИ - почему у туннельного профиля CD выше, CL ниже другого профиля, но Ceff по итогу намного выше? И почему CL/CD не равен Ceff? Вот ответ, если кратко:

 

Аэродинамическая эффективность в SU2:

# CEff учитывает МОМЕНТНЫЕ ХАРАКТЕРИСТИКИ
CEff = (CL * CL) / (CD + k * abs(CMz)) 
# или
CEff = CL / (CD + CMz_factor)  # Упрощенно

 

Словом, прирост даёт CMx. Это видно было по полярам в XFLR5 и видно теперь в SU2. Собственно, я занят оптимизацией расчётов на сверхнизких скоростях для повторения расчётов XFLR5, где туннельный эффект прорисовывался в диапазоне 200.000...700.000 Re. Это в диапазоне заметно меньше 0.1 МАХа, который я теперь осваиваю.

 

Главная проблема в том, что этот диапазон сложный для расчёта (ИИ подтвердит), требует много времени и персонального конфига SU2. Поэтому заниматься тупыми баттлами мне пока некогда. Я буду продувать разные похожие обычные профили и делать видео сравнения с моими туннельными для получения наглядной демонстрации туннельного эффекта "Bartini-Panguver". Как раз гоняю профиль Bartini с его мелким туннелем, такие вот результаты:

Запуск расчета: Mach=0.005, AOA=-20.0
CEff = -2.997790731, Итераций: 792, RMS_DENSITY = -8.755888217, 
время расчета: 23.0 сек
RE_NUMBER = 119634.86719111959
Режим RANS (Mach = 0.01)

Запуск расчета: Mach=0.005, AOA=-19.0
CEff = -3.092785484, Итераций: 655, RMS_DENSITY = -8.721185656, 
время расчета: 21.0 сек
RE_NUMBER = 119634.86719111959
Режим RANS (Mach = 0.01)

Запуск расчета: Mach=0.005, AOA=-18.0
CEff = -3.184406758, Итераций: 658, RMS_DENSITY = -8.695765051, 
время расчета: 20.8 сек
RE_NUMBER = 119634.86719111959
Режим RANS (Mach = 0.01)

Запуск расчета: Mach=0.005, AOA=-17.0
CEff = -3.271944631, Итераций: 903, RMS_DENSITY = -8.959796757, 
время расчета: 29.9 сек
RE_NUMBER = 119634.86719111959
Режим RANS (Mach = 0.01)

 

изображение.png

 

 

Edited by zerganalizer

Автоматизирую все, что логично.

Link to post
Share on other sites
zerganalizer
1 час назад, a_schelyaev сказал:

Это следствие, а не причина.

Не понял реплики - расчёт в этом диапазоне мне важен, но пока недостаточно быстр/стабилен: чем быстрее, тем больше шероховатости.

Автоматизирую все, что логично.

Link to post
Share on other sites
zerganalizer

P.S. Как оказалось - ничто так хорошо не зарешивает проблемы, как 6-я степень линейного решателя...

Автоматизирую все, что логично.

Link to post
Share on other sites
a_schelyaev

Все, вы ушли в зону академических решателей. Красная лампочка включилась. И это еще не крыло.
Все должно нормально работать на втором порядке.

Edited by a_schelyaev

С уважением

Link to post
Share on other sites
zerganalizer
15 часов назад, a_schelyaev сказал:

Все, вы ушли в зону академических решателей. Красная лампочка включилась. И это еще не крыло.
Все должно нормально работать на втором порядке.

Вот резюме из опыта. 3-я степень и 30 проходов вместо 10 стало первым решением, на котором я прошёл +/-90 градусов на NACA 2412. Как только попробовал забороть этим первый же туннельник - поимел несходимости и дивергенты, в лучшем случае решалось в диапазоне +/-20 градусов. До недавнего времени после проб 5-й и 6-й (и даже 7-й) степеней понял, что это не для ноута. Так что баттл я решал 4-й. Но на низких скоростях оно долго сходится, и углы больше 20 градусов на нескольких крутых туннельниках сходиться перестали.

 

Я переделал несколько десятков мешеров (точнее - пару, с разными опциями и настройками), снова сделал новый конфиг - с весьма плотной сеткой у поверхности, и начал пробовать конфиги SU2 из числа бывших ранее на тестах - но на 0.005 МАХа. На очень проблемном толстом профиле с сильно острым носом сходиться в +/-1000 проходов смогла только проверенная конфигурация 6-й степени, на которой я поначалу +/-90 градусов решал. Теперь +/-30 (а шире всё ещё проще решается) сходится как надо за менее 1000 проходов в-среднем. 4-й степени надо было до 8000 проходов, и в какой-то части диапазона 0.0001...0.1 МАХа уже угол 30 градусов ТУПО НЕ СХОДИЛСЯ! Решать NACA 2412 и крутые туннельники с особыми градиентами и острыми носами совсем не одно и то же. То, что вы решаете 3-ми степенями профили говорит только об одном - с подлинно крутыми профилями особо высокой эффективности специфичными вы пока не сталкивались (или ваш CFD слишком крутой), и я вам про это давно говорил. Кстати - я планирую выбрать один из туннельников вам лично на растерзание, зарешайте такое на 2-й степени да с высокими критериями и точностями...

 

Таковы реалии SU2. Я ведь включил, помимо уравнений 2-го порядка для расчета также уравнения 2-го порядка для расчётов турбуленции (очень дивергентная штука!) и полный расчёт вихрей в опциях SST.

 

И вообще я ИИ допытывал на тему степеней линейного решателя и прочих его параметров - он сказал, что академические конфиги начинаются в SU2 с 9-й степени и 60-ти проходов)))

 

Пока 6-я степень неплохо решает, хотя на 0.005 МАХа видны шероховатости (правда я точность чутка занизил для форсажа):

 

изображение.png

 

При росте от 0.005 МАХа к текущему на поляре RMS_DENSITY упал с 8+ до уверенных 7, это нормально.

 

Если этот Bartini досчитается до 0.1 МАХа нормально, и на этом же конфиге ещё парочка ваших по ссылкам - я выложу сравнительный видосик поляр на весь диапазон - 0.005...0.1 МАХа. И добавлю туда подлинный туннельник с крутым туннелем примерно в диапазоне, где туннелик есть у Bartini- посмотрим, как что в полярах меняется у обычных, слаботоннельных и сильнотоннельных профилей - будет видеобаттл, но уже исследовательский.

Edited by zerganalizer

Автоматизирую все, что логично.

Link to post
Share on other sites
a_schelyaev

Попробуйте отключить турбулентность и оценить сходимость. Если будет лучше сходиться, то для турбулентности сделайте 1 порядок.

Насчет крутизны задачи для решателя - берете круг и квадрат вместо профиля и курите.

С уважением

Link to post
Share on other sites
zerganalizer
13 минут назад, a_schelyaev сказал:

Попробуйте отключить турбулентность

Так с турбулентностью первого порядка всё проще. Кстати, тест предварительно успешен. Можно запустить детальнее - будет плавнее, и начать дуть конкурентов. Скорость ненамного больше, надёжность пока непревзойдённая. На 0.3 МАХа я пробовал на этой комбинации NACA 2412 - норм было.

 

 

polar_animation_ALL.gif

Среднее время на угол - 30 сек.

 

Автоматизирую все, что логично.

Link to post
Share on other sites
a_schelyaev

Ну тогда зачем вам второй порядок на турбулентности? Чем подробнее сетка, тем первый порядок ко второму ближе. Вся интрига у вас в зоне погранслоя, а там сетка хорошая.

С уважением

Link to post
Share on other sites
zerganalizer
15.11.2025 в 10:11, a_schelyaev сказал:

Ну тогда зачем вам второй порядок на турбулентности?

Примерно так выглядит разница в полярах NACA 2412. Особенно фатально врут CL и CMx, особенно в сильно минусовых углах атаки. Где какая поляра - сами догадаетесь? Кстати - расчёт со 2-й турбой дает примерно на 2 единицы выше RMS_DENSITY.

 

изображение.png

 

 

Автоматизирую все, что логично.

Link to post
Share on other sites
zerganalizer
16 часов назад, a_schelyaev сказал:

Где эксперимент?

Жду от вас. Как будут данные - я модернизирую просмотр поляр, как на вывод имён профилей, так и подключу тему отрисовки экспериментальных данных в виде точек потолще и сверхтонких соединителей. Все эксперименты, к примеру, будут иметь добавление "Х" в паттерне имён.

 

А так это сравнение для понимания разницы в расчётах с "вихрями-2" против обычных. Кстати, мне эксперименты не указ: там всегда будет зависимость от тщательности (чистоты и точности моделей, схемы крепления и т.д.). Я, кстати, походу изобрёл максимально достоверную установку для продувок - без влияния стен и с прямым измерением CL, CD. Может, ещё и патент напишу)))

 

Кстати, я близок к своей собственной "внутренней" сертификации расчётов - сетка + параметры уже работают до немного сверхзвука со всеми вихрАми 2-го порядка, там будет разделение на низкий и остальной диапазон МАХов. Вся разница будет только в форсаже расчёта на скоростях до 0.3 (примерно), а свыше разгон надо либо урезать (чтобы не влетать в дивергенты на больших углах), либо переключать вихри со 2-го порядка на первый.

 

В этом решении можно будет юзать 2 вида сетки - быструю треугольную и квадовую потяжелее, но повышающую относительно быстрой RMS_DENSITY почти на 2 единицы. Конечно, расчёт уже длится втрое дольше.

 

Цыферьки баттла, что я тут провёл ранее, теперь будут заметно ниже: 2-й порядок вихрей + я поточнее подогнал CL/CD на примере NACA 2412, угол атаки 8 градусов, было при настройках баттла 56, теперь сетка даёт 49 на уже утверждённых настройках, примерно в этой пропорции результаты урежутся.

 

Так что я пересчитаю баттл после полного теста системы. Пока ищу "туннель" на моём mGAW, который всех в баттле уел, после прогоню остальных участников через ту же систему, которая пока нарисовала такое на фоне баттла:

 

изображение.png

 

Отчет расчёта примерно так выглядит:


 

Запуск расчета: Mach=0.025, AOA=-10.0
CEff = -3.617327223, Итераций: 960, RMS_DENSITY = -8.769354772,

время расчета: 13.1 сек
RE_NUMBER = 598174.3359555979
Режим RANS (Mach = 0.03)

Запуск расчета: Mach=0.025, AOA=-9.0
CEff = -3.055456215, Итераций: 1630, RMS_DENSITY = -9.043362108,

время расчета: 20.9 сек
RE_NUMBER = 598174.3359555979
Режим RANS (Mach = 0.03)

Запуск расчета: Mach=0.025, AOA=-8.0
CEff = -2.106233699, Итераций: 1772, RMS_DENSITY = -9.175594559,

время расчета: 21.7 сек
RE_NUMBER = 598174.3359555979
Режим RANS (Mach = 0.03)

Запуск расчета: Mach=0.025, AOA=-7.0
CEff = -0.7457068297, Итераций: 810, RMS_DENSITY = -8.071105133,

время расчета: 10.8 сек
RE_NUMBER = 598174.3359555979
Режим RANS (Mach = 0.03)

Запуск расчета: Mach=0.025, AOA=-6.0
CEff = 1.06639416, Итераций: 1394, RMS_DENSITY = -9.198410992,

время расчета: 17.7 сек
RE_NUMBER = 598174.3359555979
Режим RANS (Mach = 0.03)

 

На 0.005 МАХа RMS_DENSITY был всегда 9+, повышение скорости понижает это число. Это турборасчёт по лёгкой сетке, по тяжёлой местами к 10-ке подходит. А на скоростях около 0.3 МАХа разница существеннее - 6.5 против около 5-ти. 

 

Но если лёгкая сетка будет стабильна во всём диапазоне - особо дорабатывать точное решение у меня пока не будет нужды. Мне сравнивать, исследовать, искать туннели и зависимости результатов продувки от форм, а не гоняться за сертификацией. К примеру - хочу продуть такого монстрика (при первых попытках - ничего особенного):

 

изображение.png

 

А тяни-толкай из презентации делался как аналог NACA 2412, но более тупорылый, и тоже ничего особенного на скорости 0.3 МАХа, но хочу исследовать детальнее:

 

изображение.png

В планах добавить в мешер опцию "зеркально", чтобы такие сразу мешить задом наперёд для продувки. Задач много, и они уже исследовательские, а не тупорылый кодинг приложений и разбирательства с CFD...

Автоматизирую все, что логично.

Link to post
Share on other sites
a_schelyaev

Так для вашей NACA четырехзначной можете эксперимент привести. Сперва с вашим 2д, потом крыло сделаете, как в продувке.

С уважением

Link to post
Share on other sites
zerganalizer
15 часов назад, a_schelyaev сказал:

Так для вашей NACA четырехзначной можете эксперимент привести.

Ну, я уже много раз подгонял параметры мешера под получения правильного CL на 15 градусах при одной скорости и CL/CD подгоняется немного по-другому, всё выходит на 0.13 и 0.3 МАХа. Но уже проверено - наличие загущений сильно влияет на расчёты других скоростей - откалибровать ОДНУ сетку под все скорости с попаданием в эксперимент - дело, походу, сильно хлопотное.

 

15 часов назад, a_schelyaev сказал:

Сперва с вашим 2д, потом крыло сделаете, как в продувке.

Ну крылья не входят в мои хобби, если только вы не хотите меня нанять, чтобы проверять ваши расчёты)))

Автоматизирую все, что логично.

Link to post
Share on other sites
a_schelyaev
6 минут назад, zerganalizer сказал:

Ну, я уже много раз подгонял параметры мешера под получения правильного CL на 15 градусах при одной скорости и CL/CD подгоняется немного по-другому, всё выходит на 0.13 и 0.3 МАХа. Но уже проверено - наличие загущений сильно влияет на расчёты других скоростей - откалибровать ОДНУ сетку под все скорости с попаданием в эксперимент - дело, походу, сильно хлопотное.

 

Ну крылья не входят в мои хобби, если только вы не хотите меня нанять, чтобы проверять ваши расчёты)))

Я сам наемный.

 

Сгущать нужно по геометричекcим особенностям и по Cp. На скачках еще добавить по градиенту плотности.

С уважением

Link to post
Share on other sites

Create an account or sign in to comment

You need to be a member in order to leave a comment

Create an account

Sign up for a new account in our community. It's easy!

Register a new account

Sign in

Already have an account? Sign in here.

Sign In Now
  • Recently Browsing   0 members

    No registered users viewing this page.

  • Сообщения

    • Kelny
      Есть исходный файл? Не обновлённый до последней версии SW2024.      
    • РоманВ
      Добрый день, коллеги. Предстоит очень большая сборка, в разы больше той, что до этого едва ворочалась на моем компе. Решил переосмыслить работу с большими сборками и обращаюсь к вам за подсказкой. Какие способы структурирования сборок, работы в SW позволяют не перегружать комп и легко работать с очень большими сборками? Ниже варианты, которые предполагаю.   1. Больше подсборок. Например в нулевую сборку все входящие детали группировать в подсборки (монтажный комплект, трубопроводный комплект и т.д.). Есть ощущение, что 3 сопряжения подсборки перевариваются легче, чем куча сопряжений кучи деталей. 2. Замена обычных сопряжений упрощенными. Например три координаты или три совпадения заменить на фиксацию. Так же слышал версию о привязках подсборок к базовым плоскостям верхней сборки, чтобы не было взаимозависимостей между подсборками. 3. Облегченные конфигурации подсборок. Использовать SpeedPak для облегчения подсборок. Возможно подсборку сохранять как деталь и вставлять в верхнюю сборку, вставив в это же место сборку и скрыв ее. Т.е. визуально будет деталь, а сборка будет скрыта и не будет обсчитываться. Возможно сборку-деталь вставить в саму подсборку как справочный элемент и сделать конфигурацию, где все детали подсборки скрыты, а высвечена только эта же сборка-деталь. 4. Привязка подсборок к справочному 3д эскизу и управление их расположением через один эскиз, а не массу взаимных сопряжений. (про компоновочный эскиз читал, пока не очень понял насколько он облегчит работу в сравнении с обычным эскизом в сборке)   Еще осложняет работу обилие трубопроводов и фитингов-соединителей. Pоутингом не пользуемся, но в планах попробовать. Может как-то можно упростить работу с трубопроводами в части загрузки компа геометрией?
    • jtok
      Уберите кромки с видов: Используйте "Состояния отображения" - например, сделайте несколько их - полная, без крепежа, без чего-нить и т.д. В нужных видах включайте только нужное состояние отображения: Например, у меня весь крепеж вставлен в сборку верхнего уровня. Сборка имеет два состояния отображения "Полная" и "Без крепежа" Если мне нужны общие виды - спереди, сверху там, то я выбираю "Без крепежа", его все равно там не видно. А для узлов - "Полная".   Используйте для разрезов галку "Глубина сечения" - сильно улучшает производительность при работе с чертежами:   Пару запрещенных приемов: Некоторые инженеры, возможно, не все, экспортируют в ACAD и потом разрисовывают чрезвычайно сложные сборки, т.к. в самом солиде именно с чертежами работать невозможно. Некоторые разбивают вид в эскиз и дальше линиями фигачат, отвязываясь от параметрической модели.
    • davidovka
      И как из этого следует, что нужно переменные суммировать с постоянными? В моей логике "переменные данные" - это тоже самое  что и «Кол. на исполн.» из Варианта Б. 
    • tohnae
      Сигналы с них приходят* что инструмент сменился, писал в попыхах пока интернет есть
    • dmitry767
      спасибо большое за разьяснение может у Вас есть схема этого станка?  
    • Alexandr97
      По ГОСТу 2.113 п. 5.5.1 приложение а) говорит о том, что сначала в постоянные записывают составные части изделия, потом в переменные записывают тоже составные, которые отличаются по переменным данным.    
    • BSV1
      Такая трактовка не верна. Согласно ГОСТ 2.113 постоянные данные - информация об исполнениях изделий, одинаковая для груп­пы изделий и содержащаяся в одном конструкторском документе. Информация об одинаковом крепеже в разном количестве - это разная информация (из-за количества). К тому же такое разбиение вносит неудобство при подсчете и комплектовании.
    • davidovka
      в каком пункте ГОСТ 2.113-75 об этом говорится?
    • clavr
      что выяснил: 1. цвет штриховки - черный. 2. штриховка модели попадает под какое-то определение/свойство. и этому определению задан цвет синий. 3. это определение игнорирует цвета самой штриховки и также слоев (поместите штриховку в другой слой и поменяйте цвет слоя - изменений нет). вывод пока такой: к самой штриховке претензий нет. так как штриховка относится к примечаниям, то скорее всего где-то стоит какая-то галочка к примечаниям или аннотациям
×
×
  • Create New...